全国数字货币钱包安装地址:tp9.app,bit16.app,tp784.app,tp888.app,im784.app,im45.app,tokenn.app,imtooken.app,imgw.app,imtom.vip,imtokemn.app,im116.app,imtokne.app,immtoken.app,im钱包.com,imtkem.app,tokim.app,im87.app,tptoka.app,tp钱包.cn,im112.app,im1.app,bitpia.app,imzg.app,imkem.vip,im70.app,im003.app,im82.app,tokim.app,imqb.app,tookeni.app,a471.cc,tokne.app,tokonii.app,imtokes.app,im1122.app,imkct.app,imkd.app,imkct.app,imtek.app,im22.im,imken.app ,tp114.app,bit114.app,imkenn.app,tp115.app,bit115.app,im221.cn,im888.app

数字货币CBDC如今成为了众人关注的焦点。那么,它与非正规经济之间究竟存在怎样的复杂联系?这正是一个值得我们深入研究的价值所在。
CBDC与两部门货币模型

CBDC作为一种新兴事物,了解其运作机制至关重要。为此,构建一个包含正规与非正规生产的两部门货币模型十分必要。通过分析不同部门,我们可以更深入地理解CBDC与非正规经济之间的联系。在现实生活中,各国经济部门的情况各不相同。例如,一些发达国家正规生产比例较高,而发展中国家,如墨西哥,其非正规生产比例可能高达0.32。这表明,在构建模型时,必须充分考虑各种实际情况。

要深入了解这个模型,必须对CBDC和非正规经济相关的各个参数进行深入分析,关注其基准值和替代值。这样做有助于我们更全面地揭示CBDC与非正规经济之间的联系。同时,这个模型构建的准确性直接关系到对CBDC相关政策效应分析的准确性。


CBDC对税收强制执行的溢出效应

中央银行数字货币(CBDC)的应用,能够对税收强制执行产生积极的溢出效应。这种效应有效地遏制了匿名支付和非正规收入的流通。在现今社会,众多逃税行为正是通过匿名支付或非正规收入得以实施。然而,CBDC的引入打破了这一现状,使得任何试图隐瞒的收入在它的作用下都有可能被揭露。


由于经济环境各异,这种溢出效应的具体影响亦有所差异。比如,在发展中国家,由于平均税率相对较低,通过减税来推动CBDC的接受度,政策实施的空间其实并不宽广。这一点也反映出,CBDC在拥有不同税收基础的国家所起的作用并非完全相同。

CBDC在货币中的份额

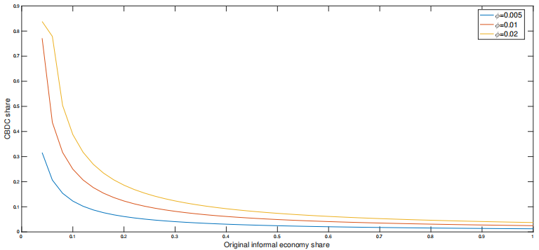
在一定比例的非正规经济活动中,CBDC在货币领域的占比各不相同。以墨西哥为例,其非正规经济比例仅为0.32,但CBDC在货币领域的占比却高达8%。这一数据充分说明,非正规经济比例的高低,直接关系到CBDC在货币体系中所占份额的大小。

各国若要推广数字货币,务必关注非正规经济这一重要环节。非正规经济比重较大,CBDC在货币体系中的比重上升可能会遭遇困难。各国非正规经济的比重持续变动,CBDC的份额自然也会随之起伏。

CBDC发行对规范产出份额的刺激
CBDC的发行对规范产出份额的提升起到了显著效果。在税率10%的情况下,若原始非正规经济份额为32%,CBDC的发行能使规范产出份额从原本的0.15%增至0.7%。这一变化充分表明,CBDC的发行对于推动经济规范化具有积极作用。

在经济实践中,众多企业和生产者均承受着该政策的间接作用。新规促使产出份额提升,进而带动了新的就业机会和经济增长。即便与各类非正规经济部分相融合,数字货币(CBDC)仍能有效地促进规范产出份额的增加。
CBDC利率的积极作用

当CBDC利率呈现上升趋势,这对提升正规化产出份额具有显著影响。以CBDC利率达到存款利率的70%为例,若原始非正规经济份额为32%,发行CBDC便能使规范产出份额提升约1.08%。由此可见,CBDC利率是调节正规生产的关键杠杆。

在现实金融市场里,随着数字货币的普及,对CBDC利率的制定与调整必须兼顾到非正规经济所占的比例。金融机构亦需依据CBDC利率的变动来调整其业务策略,以适应经济向好的趋势。

CBDC与政策冲击的关系

CBDC和政策冲击之间有着紧密的联系。在政府支出冲击的情境下,CBDC的引入加剧了对正规产出的传导效应。然而,在全要素生产率冲击的情况下,CBDC却对正规产出的传播起到了抑制作用。这种一正一反的现象显示出CBDC在面对不同类型的政策冲击时,其作用呈现出差异性。
政策制定者与企业经营者等,均需评估CBDC在政策冲击中的定位。CBDC在金融市场稳定与实体经济发展等方面,面临多元复杂的影响,对此需有全面而深入的认识。

整体来看,CBDC与非正规经济的关系错综复杂,对经济多个领域造成了深远的影响。在此,我想请教大家,大家认为CBDC在发展中国家如何能更有效地促进正规经济的增长?期待大家的评论、点赞和分享。

全国数字货币钱包安装地址:tp9.app,bit16.app,tp784.app,tp888.app,im784.app,im45.app,tokenn.app,imtooken.app,imgw.app,imtom.vip,imtokemn.app,im116.app,imtokne.app,immtoken.app,im钱包.com,imtkem.app,tokim.app,im87.app,tptoka.app,tp钱包.cn,im112.app,im1.app,bitpia.app,imzg.app,imkem.vip,im70.app,im003.app,im82.app,tokim.app,imqb.app,tookeni.app,a471.cc,tokne.app,tokonii.app,imtokes.app,im1122.app,imkct.app,imkd.app,imkct.app,imtek.app,im22.im,imken.app ,tp114.app,bit114.app,imkenn.app,tp115.app,bit115.app,im221.cn,im888.app